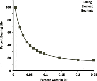
I just came across this incredible phrase while looking for some graphs to demonstrate… exactly that. It sounds dramatic, but it’s anything but.
An estimated bearing working life is an ideal that is unlikely to be reached in practice. Read this excellent article from Machinery Lubrication for more details, then come back and send over some samples so we can save those bearings from an untimely death!
